Unsteady Behaviors in a Shock Train Interaction

Study of the unsteady mechanisms within a spanwise homogeneous shock train

Investigation into the unsteady behavior of a spanwise homogeneous shock train are investigated using and array of time and frequency domain analyses. Time varying motions are quantified through i) unsteady wall pressure loads and ii) time varying positions of the shock waves in the system. For more technical details, refer to the publications page.

Instantaneous visualizations of prominent shock structures and boundary layer turbulence.
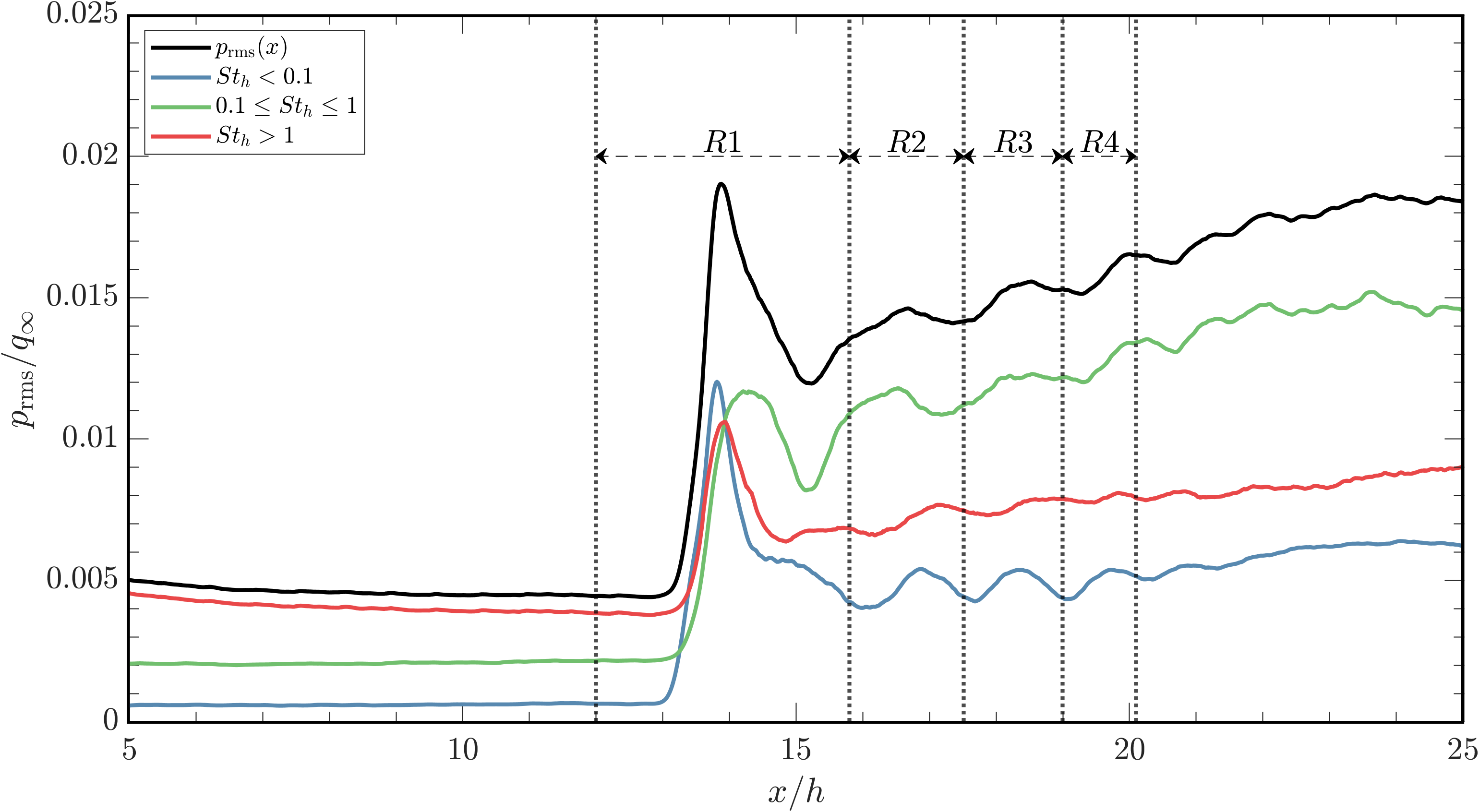
Root mean square (rms) of wall pressure fluctuations along bottom of shock train channel. Contributions to pressure rms from low, mid, and high frequency bands are highlighted, which correspond to low freqeuncy coherent streamwise shock motions, energetic large scale boundary layer structures, and fine scale turbulence.